Understanding Preload of the Left Ventricle: A Key Concept in Cardiovascular Physiology
- Mazen Kherallah

- May 29, 2024
- 3 min read
Preload is a fundamental concept in cardiovascular physiology, essential for understanding the mechanics of the heart. It refers to the initial stretching of the cardiac myocytes before contraction. This stretching is influenced by the volume of blood returning to the heart, known as venous return, and it directly impacts the force of the subsequent cardiac contraction according to the Frank-Starling law.
The Pressure-Volume Relationship
During the filling phase of the left ventricle, known as diastole, blood flows from the left atrium into the ventricle. Initially, the ventricular pressure rises minimally despite significant volume increase due to the ventricle's high compliance. However, as the ventricle continues to fill and reaches higher volumes, the pressure rises more steeply, reflecting increased stiffness of the ventricular walls. This pressure-volume relationship during diastole is crucial for understanding preload, which is the degree of ventricular stretch at the end of diastole. Increased preload, indicative of higher end-diastolic volume, enhances stroke volume through the Frank-Starling mechanism up to a physiological limit where excessive filling leads to markedly increased pressure due to reduced compliance
Elastance of the Left Ventricle
During diastole, elastance measures the left ventricle's ability to change its pressure in response to changes in volume, calculated as the ratio of pressure to volume (Elastance = Pressure/Volume). Initially, as the ventricle fills with blood, elastance is low, reflecting high compliance and minimal pressure increase despite a significant volume increase. However, as filling continues and the end-diastolic volume rises, elastance increases, indicating that the ventricle becomes stiffer and less compliant. This increased elastance during diastole means that the ventricle requires a higher pressure to accommodate additional volume, demonstrating the progressively reduced capacity of the ventricular walls to stretch further
Defining Preload
A debate exists over whether end-diastolic pressure or end-diastolic volume should be used as the indicator of preload. While both are critical factors, relying solely on pressure or volume does not provide a complete picture. Pressure can vary significantly with changes in ventricular compliance, while volume alone does not account for the actual stress experienced by the ventricular wall.
In fact, preload is more accurately defined as the left ventricular wall stress at end of diastole, which can be calculated using the principles of the Law of Laplace, which relates the wall stress in a spherical or cylindrical vessel to the pressure, radius, and thickness of the wall. The formula for left ventricular wall stress (σ) is generally expressed as: σ equates to the intraventricular pressure (P) multiplied by the radius of the ventricle (r) divided by 2 X the wall thickness (w).
Wall stress=𝑃⋅𝑟/2𝑤
In this equation:
𝑃 is the pressure within the ventricle at the end of diastole.
r is the radius of the ventricle, primarily determined by the volume of blood.
w is the thickness of the ventricular wall.
The volume of the left ventricle can be calculated from the radius assuming the left ventricle is a sphere by the following formula:
Therefore, preload is influenced directly by both the volume of blood in the ventricle and the pressure at the end of diastole and inversely by the thickness of the left ventricle wall and is typically measured in millimeters of mercury (mmHg).
Practical Example
To illustrate, consider two examples with different volumes and pressures:
Example 1: A left ventricle at the end of diastole with a volume of 120 mL and an intraventricular pressure of 10 mmHg. The wall thickness is 1 cm.
First, we need to calculate the radius of the left ventricle using the relationship between volume (V) and radius (r) which can be calculated from this formula:
Now, using the Law of Laplace to calculate the wall stress:
Wall stress=𝑃⋅𝑟/2𝑤
Wall stress=10×3.05/2×1
Wall stress=30.5/2
Wall stress=15.25 mmHg
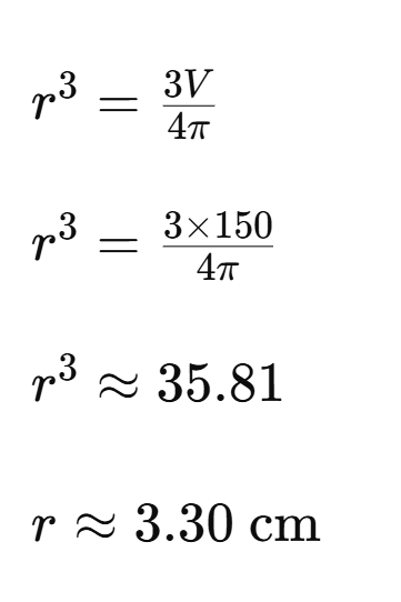
Example 2: A left ventricle at the end of diastole with a volume of 150 mL and an intraventricular pressure of 15 mmHg. The wall thickness is 1 cm.
Calculating the radius:
Now let's calculate the wall stress:
Wall stress=𝑃⋅𝑟/2𝑤
Wall stress=15×3.30/2×1
Wall stress=49.5/2
Wall stress=24.75 mmHg
These calculations show that the wall stress, or preload, for a volume of 120 mL and pressure of 10 mmHg is 15.25 mmHg, and for a volume of 150 mL and pressure of 15 mmHg is 24.75 mmHg.
Conclusion
Three critical factors determine preload, defined as the wall stress on the left ventricle at the end of diastole:
The radius of the left ventricle (volume)
The pressure within the ventricle
The thickness of the ventricular wall








Comments